Contributed expertise and technical support to research projects

Distribution and Impact of Invasive Alien Plant Species (iaps) in Annapurna Conservation Area(ACAP), Nepal

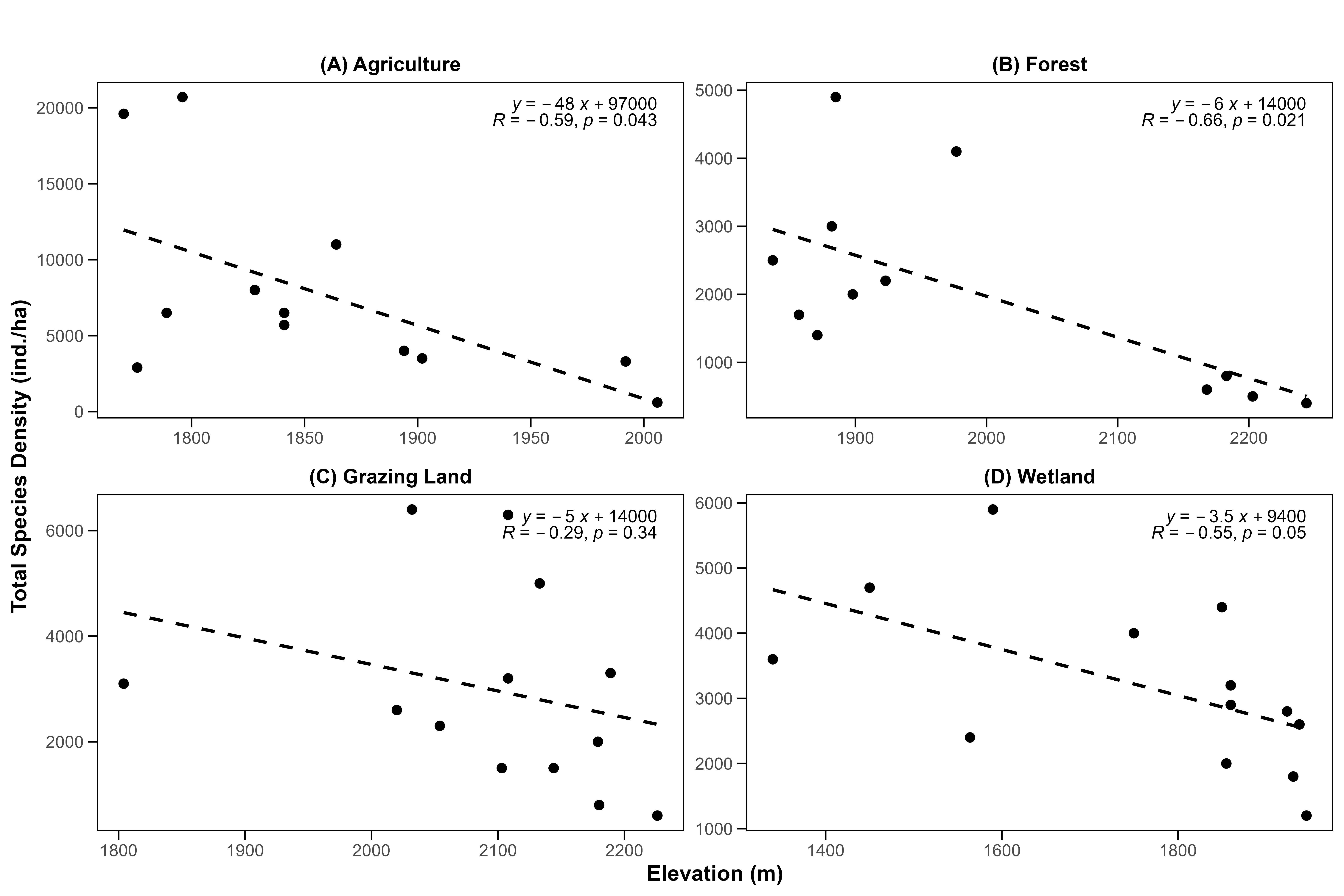
This study developed hypotheses about two essential ecological metrics: species richness and species density per hectare. The study hypothesized that elevation significantly influences species richness (H₁), while the null hypothesis (H₀) stating that no such effect exists. In addition, for species density, study hypothesized that elevation significantly influences the number of individuals per hectare (H₁), while the null hypothesis assumed no significant relationship (H₀). Study investigated these hypotheses by using linear regression models on each type of ecosystem separately: forest, grazing land, wetland, and agricultural land, with elevation as the predictor variable. The slope and intercept of the regression models were used to assess whether species richness and density exhibited increasing or decreasing trends along the altitudinal gradient. Overall, 12 species were discovered in the study area in four different ecosystems among 48 plots.

1. Shaggy soldier – चित्लाङे – Galinsoga quadriradiata
2. Black jack / Hairy Beggar-tick – कालो कुरो – Bidens pilosa
3. Billygoat – गन्धे – Ageratum conyzoides
4. Parthenium – पाती झार – Parthenium hysterophorus
5. Purple wood sorrel – चरी अमिलो – Oxalis latifolia
6. Yellow Himalayan Raspberry – आइसेलु – Rubus ellepticus
7. Southern cut grass / Navo dhan – करौँते झार – Leersia hexandra
8. Crofton weed – कालो बनमारा – Ageratina adenophora
9. Yellow-berried Nightshade – कन्टकारी – Solanum xanthocarpum
10. Rough cockle-Bur – भेडे कुरो – Xanthium strumarium

Dominant invasive species vary by ecosystem: grazing lands are dominated by Oxalis latifolia, wetlands and agricultural areas by Galinsoga quadriradiata, and forests by Ageratina adenophora.

GCAP Image
GCAP Image
GCAP Image
GCAP Image

This study found that species richness decreases with elevation across agricultural (p = 0.0048), forest (p = 0.002), grazing land (p = 0.0012), and wetland ecosystems (p < 0.001). Both regression and correlation analyses showed strong negative relationships, confirming that elevation significantly influences richness in all ecosystems studied. In addition to species richness, this study showed that elevation generally reduces species density across ecosystems. In agricultural land (p = 0.043) and forests (p = 0.021), the negative effect was statistically significant, while in wetlands the relationship was marginally significant (p = 0.050). However, in grazing lands (p = 0.344), no significant effect of elevation on species density was observed.

In the ACAP, invasive plant species are creating serious challenges. They reduce crop yields and grazing land quality, harming both farming and livestock. Communities face higher labor and economic costs to control weeds, and increasing fuel loads causing significant risk of wildfires. while plants like Parthenium also cause health problems such as allergies and asthma. Invasives species further degrade natural beauty, biodiversity, and threatening tourism and cultural landscapes that local livelihoods depend on.